힐스테이트 청주센트럴2차 안내
[출처 : 입주자모집공고 및 공식 홈페이지]
1. 힐스테이트 청주센트럴2차 공급 내역


공급 위치 : 충청북도 청주시 흥덕구 가경동 1416-1번지
공급 규모 : 아파트 지하 6층 ~지상 49층 2개 동 총 258세대
입주 시기 : 2025년 05월 예정
시공사 : 현대엔지니어링㈜
공급 평형 : 84㎡ A 170 가구 / 84㎡ B 42 가구 / 109㎡ 42 가구 / 148㎡ P 2 가구 / 149㎡ P 1 가구 / 197㎡ P 1 가구
2. 힐스테이트 청주센트럴2차 입지 환경

교통환경
청주고속버스터미널과 도보로 이용 가능한 거리에 위치해 있으며, 제2순환로, 가로수로 등을 통해 청주 시내외로 이동이 편리합니다.
생활 인프라
현대백화점, NC백화점, 롯데아울렛 등 대형 쇼핑시설과 CGV, 메가폴리스, 하나병원 등 생활 편의시설이 인접해 있습니다.
교육 환경
서현초, 서현중, 경덕초, 경덕중, 충북사대부설중·고, 흥덕고 등이 인접해 있습니다.
자연환경
석남천 수변공원, 풍년골공원, 발산공원 등이 인접해 있어 쾌적한 환경을 누릴 수 있습니다.

3. 힐스테이트 청주센트럴2차 분양 일정

2024년 06월 14일(금) 입주자 모집공고
06월 24일(월) : 특별공급
06월 25일(화) : 청약 1순위
07월 02일(화) : 당첨자 발표
07월 05일(금) ~07월 09일(화) : 서류접수
07월 16일(화) ~07월 18일(목) : 계약일 (3일간)
4. 힐스테이트 청주센트럴2차 청약 자격

청주시 또는 충청북도 거주하는 만 19세 이상 세대주, 세대원
청약통장 가입기간 6개월 이상, 청약 예치금 충족
유주택자, 당첨사실 있어도 가능

당첨방식 : 가점제 40% + 추첨제 60% (85㎡ 이하)
추첨제 100% (85㎡ 초과)

거주의무 : 없음
전매제한 : 없음
제당첨제한 : 없음
규제지역여부 : 비규제지역
분양가상한제 : 미적용
택지 유형 : 민간택지
단, 같은 순위 내 경쟁이 있을 경우 현재 청주시 1년 이상 계속 거주자에게 우선공급
청약 예치금
| 특별시 및 부산광역시 | 그 밖의 광역시 | 청주시, 충청북도 | |
| 전용면적 85㎡ 이하 | 300 만원 | 250 만원 | 200 만원 |
| 전용면적 102㎡ 이하 | 600 만원 | 400 만원 | 300 만원 |
| 전용면적 135㎡ 이하 | 1000 만원 | 700 만원 | 400 만원 |
| 모든 면적 | 1500 만원 | 1000 만원 | 500 만원 |
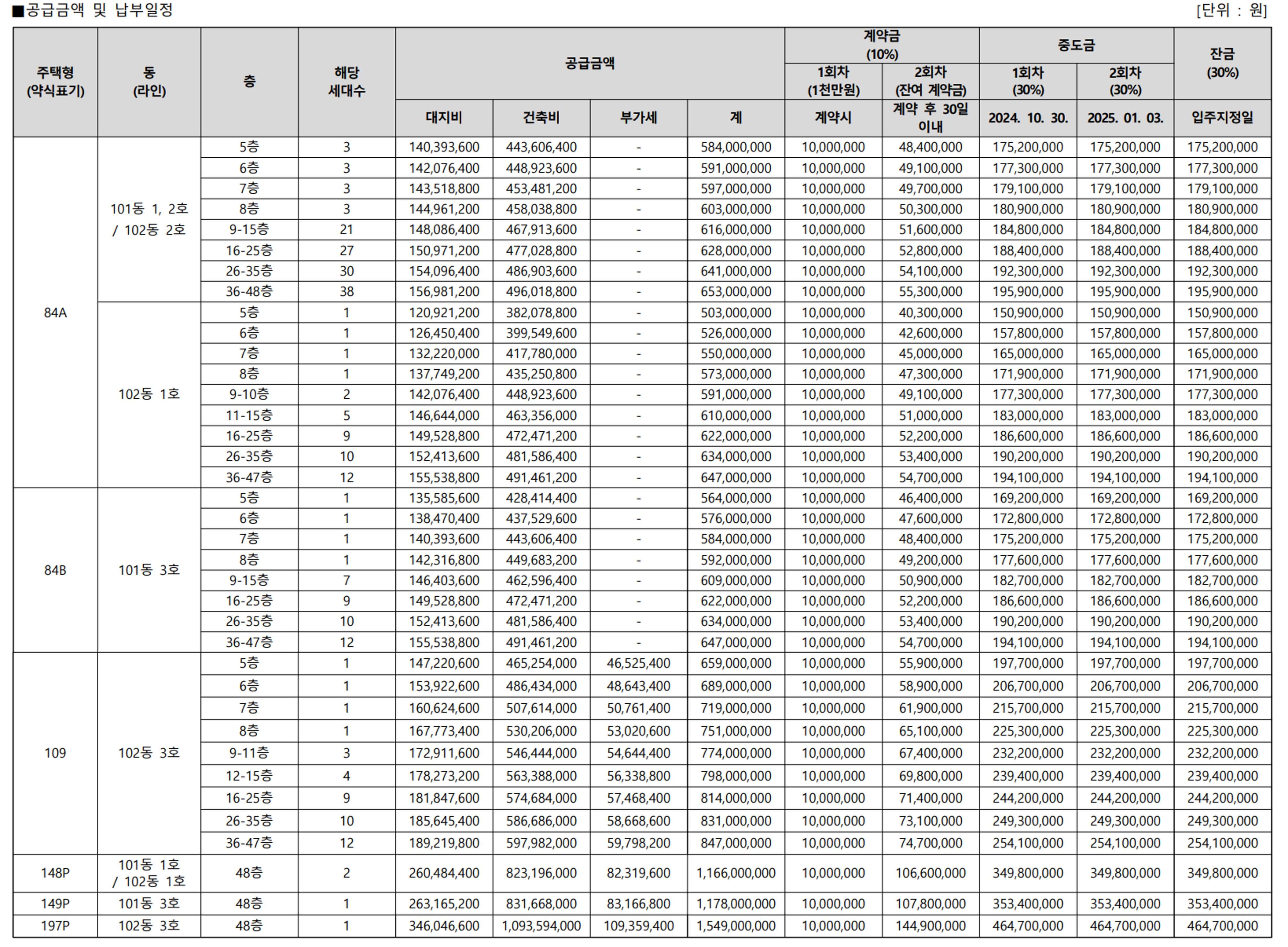
5. 힐스테이트 청주센트럴2차 분양가

| TYPE | 분양가 |
| 84㎡ A 170가구 | 5.03억 ~ 6.53억 |
| 84㎡ B 42가구 | 5.64억 ~ 6.47억 |
| 109㎡ 42가구 | 6.59억 ~ 8.47억 |
| 148㎡ P 2가구 | 11.66억 |
| 149㎡ P 1가구 | 11.78억 |
| 197㎡ P 1가구 | 15.49억 |
※ 계약금 10% + 중도금 60% (이자후불제) + 잔금 30%
6. 힐스테이트 청주센트럴2차 발코니 확장비 시스템에어컨 기타 추가설치품목



※ 본 아파트는 선시공 후분양(‘24년 5월 말 기준 공정률 67%) 아파트로 2025년 5월 입주 예정이며, 공급계약 체결 시 선시공품목인 발코니 확장, 시스템에어컨, 기타 추가설치품목 등 전체 추가설치품목(유상옵션)을 별도로 반드시 계약하여야 하며, 비용을 정해진 기한 내에 납부하셔야 합니다.
| 발코니확장+창호+유리난간 | 시스템 에어컨 | 기타 추가설치 품목 | |
| 84㎡ A | 1800만원 | 5대 1380만원 | 9314만원 |
| 84㎡ B | 1800만원 | 5대 1380만원 | 9260만원 |
| 109㎡ | 2332만원 | 6대 1680만원 | 1.08억 |
| 148㎡ P | 3150만원 | 8대 2240만원 | 1.32억 |
| 149㎡ P | 3181만원 | 8대 2240만원 | 1.32억 |
| 197㎡ P | 4184만원 | 8대 2340만원 | 1.60억 |
※ 계약금 10% + 중도금 10% + 잔금 80%
7. 힐스테이트 청주센트럴2차 모델하우스 안내

8. 힐스테이트 청주센트럴2차 모집공고
'부동산 > 아파트' 카테고리의 다른 글
| 오산세교2 한신더휴(A16블록) 무순위(사후) 정보 (2) | 2024.06.21 |
|---|---|
| 순천그랜드파크자이 총 정리 정보 (0) | 2024.06.20 |
| 롯데캐슬 위너스포레 안내(위치, 평면도, 분양가, 모델하우스) (0) | 2024.06.18 |
| 마포자이힐스테이트 라첼스(공덕1구역 주택재건축 정비사업) 정보(위치, 예상분양가) (1) | 2024.06.17 |
| 과천 디에트르 퍼스티지 분양가 상한제 아파트 6월 분양 안내 (1) | 2024.06.16 |